Build a responsive UI with ConstraintLayout   Part of Android Jetpack.

Try the Compose way
Jetpack Compose is the recommended UI toolkit for Android. Learn how to work with layouts in Compose.

ConstraintLayout lets you create large, complex layouts with a flat view hierarchy—no nested view groups. It's similar to RelativeLayout in that all views are laid out according to relationships between sibling views and the parent layout, but it's more flexible than RelativeLayout and easier to use with Android Studio's Layout Editor.

All the power of ConstraintLayout is available directly from the Layout Editor's visual tools, because the layout API and the Layout Editor are specially built for each other. You can build your layout with ConstraintLayout entirely by dragging instead of editing the XML.

This page shows how to build a layout with ConstraintLayout in Android Studio 3.0 or higher. For more information about the Layout Editor, see Build a UI with Layout Editor.

To see a variety of layouts you can create with ConstraintLayout, see the Constraint Layout Examples project on GitHub.

Constraints overview

To define a view's position in ConstraintLayout, you add at least one horizontal and one vertical constraint for the view. Each constraint represents a connection or alignment to another view, the parent layout, or an invisible guideline. Each constraint defines the view's position along the vertical or horizontal axis. Each view must have a minimum of one constraint for each axis, but often more are necessary.

When you drop a view into the Layout Editor, it stays where you leave it even if it has no constraints. This is only to make editing easier. If a view has no constraints when you run your layout on a device, it is drawn at position [0,0] (the top-left corner).

In figure 1, the layout looks good in the editor, but there's no vertical constraint on view C. When this layout draws on a device, view C horizontally aligns with the left and right edges of view A, but it appears at the top of the screen because it has no vertical constraint.

Figure 1. The editor shows view C below A, but it has no vertical constraint.

Figure 2. View C is now vertically constrained below view A.

Although a missing constraint doesn't cause a compilation error, the Layout Editor indicates missing constraints as an error in the toolbar. To view the errors and other warnings, click Show Warnings and Errors . To help you avoid missing constraints, the Layout Editor automatically adds constraints for you with the Autoconnect and infer constraints features.

Add ConstraintLayout to your project

To use ConstraintLayout in your project, proceed as follows:

  1. Ensure you have the maven.google.com repository declared in your settings.gradle file:

    Groovy

        dependencyResolutionManagement {
          ...
          repositories {
              google()
          }
        )
        

    Kotlin

        dependencyResolutionManagement {
          ...
          repositories {
              google()
          }
        }
        
  2. Add the library as a dependency in the module-level build.gradle file, as shown in the following example. The latest version might be different than what is shown in the example.

    Groovy

    dependencies {
        implementation "androidx.constraintlayout:constraintlayout:2.2.1"
        // To use constraintlayout in compose
        implementation "androidx.constraintlayout:constraintlayout-compose:1.1.1"
    }

    Kotlin

    dependencies {
        implementation("androidx.constraintlayout:constraintlayout:2.2.1")
        // To use constraintlayout in compose
        implementation("androidx.constraintlayout:constraintlayout-compose:1.1.1")
    }
  3. In the toolbar or sync notification, click Sync Project with Gradle Files.

Now you're ready to build your layout with ConstraintLayout.

Convert a layout

Figure 3. The menu to convert a layout to ConstraintLayout.

To convert an existing layout to a constraint layout, follow these steps:

  1. Open your layout in Android Studio and click the Design tab at the bottom of the editor window.
  2. In the Component Tree window, right-click the layout and click Convert LinearLayout to ConstraintLayout.

Create a new layout

To start a new constraint layout file, follow these steps:

  1. In the Project window, click the module folder and select File > New > XML > Layout XML.
  2. Enter a name for the layout file and enter "androidx.constraintlayout.widget.ConstraintLayout" for the Root Tag.
  3. Click Finish.

Add or remove a constraint

To add a constraint, do the following:

Video 1. The left side of a view is constrained to the left side of the parent.

  1. Drag a view from the Palette window into the editor.

    When you add a view in a ConstraintLayout, it displays in a bounding box with square resizing handles on each corner and circular constraint handles on each side.

  2. Click the view to select it.
  3. Do one of the following:
    • Click a constraint handle and drag it to an available anchor point. This point can be the edge of another view, the edge of the layout, or a guideline. Notice that as you drag the constraint handle, the Layout Editor shows potential connection anchors and blue overlays.
    • Click one of the Create a connection buttons in the Layout section of the Attributes window, as shown in figure 4.

      Figure 4. The Layout section of the Attributes window lets you create connections.

When the constraint is created, the editor gives it a default margin to separate the two views.

When creating constraints, remember the following rules:

  • Every view must have at least two constraints: one horizontal and one vertical.
  • You can create constraints only between a constraint handle and an anchor point that share the same plane. A vertical plane—the left and right sides—of a view can be constrained only to another vertical plane, and baselines can constrain only to other baselines.
  • Each constraint handle can be used for just one constraint, but you can create multiple constraints from different views to the same anchor point.

You can delete a constraint by doing any of the following:

  • Click a constraint to select it, and then click Delete.
  • Control-click (Command-click on macOS) a constraint anchor. The constraint turns red to indicate that you can click to delete it, as shown in figure 5.

    Figure 5. A red constraint indicates that you can click to delete it.

  • In the Layout section of the Attributes window, click a constraint anchor, as shown in figure 6.

    Figure 6. Click a constraint anchor to delete it.

Video 2. Adding a constraint that opposes an existing one.

If you add opposing constraints on a view, the constraint lines become coiled like a spring to indicate the opposing forces, as shown in video 2. The effect is most visible when the view size is set to "fixed" or "wrap content," in which case the view is centered between the constraints. If you instead want the view to stretch its size to meet the constraints, switch the size to "match constraints." If you want to keep the current size but move the view so that it's not centered, adjust the constraint bias.

You can use constraints to achieve different types of layout behavior, as described in the following sections.

Parent position

Constrain the side of a view to the corresponding edge of the layout.

In figure 7, the left side of the view is connected to the left edge of the parent layout. You can define the distance from the edge with margin.

Figure 7. A horizontal constraint to the parent.

Order position

Define the order of appearance for two views, either vertically or horizontally.

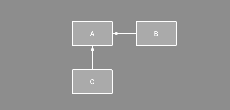
In figure 8, B is constrained to always be to the right of A, and C is constrained below A. However, these constraints don't imply alignment, so B can still move up and down.

Figure 8. A horizontal and vertical constraint.

Alignment

Align the edge of a view to the same edge of another view.

In figure 9, the left side of B is aligned to the left side of A. If you want to align the view centers, create a constraint on both sides.

You can offset the alignment by dragging the view inward from the constraint. For example, figure 10 shows B with a 24dp offset alignment. The offset is defined by the constrained view's margin.

You can also select all the views you want to align, and then click Align in the toolbar to select the alignment type.

Figure 9. A horizontal alignment constraint.

Figure 10. An offset horizontal alignment constraint.

Baseline alignment

Align the text baseline of a view to the text baseline of another view.

In figure 11, the first line of B is aligned with the text in A.

To create a baseline constraint, right-click the text view you want to constrain and then click Show Baseline. Then click on the text baseline and drag the line to another baseline.

Figure 11. A baseline alignment constraint.

Constrain to a guideline

You can add a vertical or horizontal guideline that lets you constrain your views and is invisible to your app's users. You can position the guideline within the layout based on either dp units or a percentage relative to the layout's edge.

To create a guideline, click Guidelines in the toolbar, and then click either Add Vertical Guideline or Add Horizontal Guideline.

Drag the dotted line to reposition it, and click the circle at the edge of the guideline to toggle the measurement mode.

Figure 12. A view constrained to a guideline.

Constrain to a barrier

Similar to a guideline, a barrier is an invisible line that you can constrain views to, except a barrier doesn't define its own position. Instead, the barrier position moves based on the position of views contained within it. This is useful when you want to constrain a view to a set of views rather than to one specific view.

For example, in figure 13 view C is constrained to the right side of a barrier. The barrier is set to the "end" (or the right side, in a left-to-right layout) of both view A and view B. The barrier moves depending on whether the right side of view A or of view B is is farthest right.

To create a barrier, follow these steps:

  1. Click Guidelines in the toolbar, and then click Add Vertical Barrier or Add Horizontal Barrier.
  2. In the Component Tree window, select the views you want inside the barrier and drag them into the barrier component.
  3. Select the barrier from the Component Tree, open the Attributes window, and then set barrierDirection.

Now you can create a constraint from another view to the barrier.

You can also constrain views that are inside the barrier to the barrier. This way, you can align all the views in the barrier to each other, even if you don't know which view is the longest or tallest.

You can also include a guideline inside a barrier to ensure a "minimum" position for the barrier.

Figure 13. View C is constrained to a barrier, which moves based on the position and size of both view A and view B.

Adjust the constraint bias

When you add a constraint to both sides of a view, and the view size for the same dimension is either "fixed" or "wrap content", the view becomes centered between the two constraints with a bias of 50% by default. You can adjust the bias by dragging the bias slider in the Attributes window or by dragging the view, as shown in video 3.

If you instead want the view to stretch its size to meet the constraints, switch the size to "match constraints."

Video 3. Adjusting the constraint bias.

Adjust the view size

Figure 14. When selecting a view, the Attributes window includes controls for 1 size ratio, 2 deleting constraints, 3 height or width mode, 4 margins, and 5 constraint bias. You can also highlight individual constraints in the Layout Editor by clicking them in the 6 constraint list.

You can use the corner handles to resize a view, but this hardcodes the size—the view doesn't resize for different content or screen sizes. To select a different sizing mode, click a view and open the Attributes window on the right side of the editor.

Near the top of the Attributes window is the view inspector, which includes controls for several layout attributes, as shown in figure 14. This is available only for views in a constraint layout.

You can change the way the height and width are calculated by clicking the symbols indicated with callout 3 in figure 14. These symbols represent the size mode as follows. Click the symbol to toggle between these settings:

  • Fixed: specify a specific dimension in the following text box or by resizing the view in the editor.
  • Wrap Content: the view expands only as much as needed to fit its contents.
    • layout_constrainedWidth
    • Set this to true to let the horizontal dimension change to respect constraints. By default, a widget set to WRAP_CONTENT isn't limited by constraints.

  • Match Constraints: the view expands as much as possible to meet the constraints on each side, after accounting for the view's margins. However, you can modify that behavior with the following attributes and values. These attributes take effect only when you set the view width to "match constraints":
    • layout_constraintWidth_min

      This takes a dp dimension for the view's minimum width.

    • layout_constraintWidth_max

      This takes a dp dimension for the view's maximum width.

    However, if the given dimension has only one constraint, then the view expands to fit its contents. Using this mode on either the height or width also lets you set a size ratio.

Set size as a ratio

Figure 15. The view is set to a 16:9 aspect with the width based on a ratio of the height.

You can set the view size to a ratio, such as 16:9, if at least one of the view dimensions is set to "match constraints" (0dp). To enable the ratio, click Toggle Aspect Ratio Constraint (callout 1 in figure 14) and enter the width:height ratio in the input that appears.

If both the width and height are set to "match constraints," you can click Toggle Aspect Ratio Constraint to select which dimension is based on a ratio of the other. The view inspector indicates which dimension is set as a ratio by connecting the corresponding edges with a solid line.

For example, if you set both sides to "match constraints," click Toggle Aspect Ratio Constraint twice to set the width to be a ratio of the height. The entire size is dictated by the height of the view, which can be defined in any way, as shown in figure 15.

Adjust the view margins

To make your views evenly spaced, click Margin in the toolbar to select the default margin for each view that you add to the layout. Any change you make to the default margin applies only to the views you add from then on.

You can control the margin for each view in the Attributes window by clicking the number on the line that represents each constraint. In figure 14, callout 4 shows the bottom margin is set to 16dp.

Figure 16. The toolbar's Margin button.

All margins offered by the tool are factors of 8dp to help your views align to Material Design's 8dp square grid recommendations.

Control linear groups with a chain

Figure 17. A horizontal chain with two views.

A chain is a group of views that are linked to each other with bi-directional position constraints. The views within a chain can be distributed either vertically or horizontally.

Figure 18. Examples of each chain style.

Chains can be styled in one of the following ways:

  1. Spread: the views are evenly distributed after margins are accounted for. This is the default.
  2. Spread inside: the first and last views are affixed to the constraints on each end of the chain, and the rest are evenly distributed.
  3. Weighted: when the chain is set to spread or spread inside, you can fill the remaining space by setting one or more views to "match constraints" (0dp). By default, the space is evenly distributed between each view that's set to "match constraints," but you can assign a weight of importance to each view using the layout_constraintHorizontal_weight and layout_constraintVertical_weight attributes. This works the same way as layout_weight in a linear layout: the view with the highest weight value gets the most space, and views that have the same weight get the same amount of space.
  4. Packed: the views are packed together after margins are accounted for. You can adjust the whole chain's bias—left or right, or up or down—by changing the chain's "head" view bias.

The chain's "head" view—the leftmost view in a horizontal chain (in a left-to-right layout) and the top-most view in a vertical chain—defines the chain's style in XML. However, you can toggle between spread, spread inside, and packed by selecting any view in the chain and clicking the chain button that appears below the view.

To create a chain, do the following, as shown in video 4:

  1. Select all the views to be included in the chain.
  2. Right-click one of the views.
  3. Select Chains.
  4. Select either Center Horizontally or Center Vertically.

Video 4. Creating a horizontal chain.

Here are a few things to consider when using chains:

  • A view can be a part of both a horizontal and a vertical chain, so you can build flexible grid layouts.
  • A chain works properly only if each end of the chain is constrained to another object on the same axis, as shown in figure 14.
  • Although the orientation of a chain is vertical or horizontal, using one doesn't align the views in that direction. To achieve the proper position for each view in the chain, include other constraints, such as alignment constraints.

Automatically create constraints

Instead of adding constraints to every view as you place them in the layout, you can move each view into the positions you want in the Layout Editor and then click Infer Constraints to automatically create constraints.

Infer Constraints scans the layout to determine the most effective set of constraints for all views. It constrains the views to their current positions while providing flexibility. You might need to make adjustments to make the layout respond as you intend for different screen sizes and orientations.

Autoconnect to Parent is a separate feature that you can enable. When it's enabled and you add child views to a parent, this feature automatically creates two or more constraints for each view as you add them to the layout—but only when it's appropriate to constrain the view to the parent layout. Autoconnect doesn't create constraints to other views in the layout.

Autoconnect is disabled by default. Enable it by clicking Enable Autoconnection to Parent in the Layout Editor toolbar.

Keyframe animations

Within a ConstraintLayout, you can animate changes to the size and position of elements by using ConstraintSet and TransitionManager.

A ConstraintSet is a lightweight object that represents the constraints, margins, and padding of all child elements within a ConstraintLayout. When you apply a ConstraintSet to a displayed ConstraintLayout, the layout updates the constraints of all its children.

To build an animation using ConstraintSet, specify two layout files that act as start and end keyframes for the animation. You can then load a ConstraintSet from the second keyframe file and apply it to the displayed ConstraintLayout.

The following code example shows how to animate moving a single button to the bottom of the screen.

// MainActivity.kt

fun onCreate(savedInstanceState: Bundle?) {
    super.onCreate(savedInstanceState)
    setContentView(R.layout.keyframe_one)
    constraintLayout = findViewById(R.id.constraint_layout) // member variable
}

fun animateToKeyframeTwo() {
    val constraintSet = ConstraintSet()
    constraintSet.load(this, R.layout.keyframe_two)
    TransitionManager.beginDelayedTransition()
    constraintSet.applyTo(constraintLayout)
}
// layout/keyframe1.xml
// Keyframe 1 contains the starting position for all elements in the animation
// as well as final colors and text sizes.

<?xml version="1.0" encoding="utf-8"?>
<androidx.constraintlayout.widget.ConstraintLayout xmlns:android="http://schemas.android.com/apk/res/android"
    xmlns:app="http://schemas.android.com/apk/res-auto"
    android:layout_width="match_parent"
    android:layout_height="match_parent">

    <Button
        android:id="@+id/button2"
        android:layout_width="0dp"
        android:layout_height="wrap_content"
        android:text="Button"
        app:layout_constraintEnd_toEndOf="parent"
        app:layout_constraintStart_toStartOf="parent"
        app:layout_constraintTop_toTopOf="parent" />
</androidx.constraintlayout.widget.ConstraintLayout>
// layout/keyframe2.xml
// Keyframe 2 contains another ConstraintLayout with the final positions.

<?xml version="1.0" encoding="utf-8"?>
<androidx.constraintlayout.widget.ConstraintLayout xmlns:android="http://schemas.android.com/apk/res/android"
    xmlns:app="http://schemas.android.com/apk/res-auto"
    android:layout_width="match_parent"
    android:layout_height="match_parent">

    <Button
        android:id="@+id/button2"
        android:layout_width="0dp"
        android:layout_height="wrap_content"
        android:text="Button"
        app:layout_constraintEnd_toEndOf="parent"
        app:layout_constraintStart_toStartOf="parent"
        app:layout_constraintBottom_toBottomOf="parent" />
</androidx.constraintlayout.widget.ConstraintLayout>

Additional resources

ConstraintLayout is used in the Sunflower demo app.